91吃瓜
欢迎访91吃瓜 网站!
学校主站
|
加入收藏
|
91吃瓜
91吃瓜概况
91吃瓜简介
现任领导
机构设置
教学机构
科研机构
行政机构
治理机构
党建工作
组织建设
理论学习
党建活动
工会风采
人才培养
本科生教育
研究生教育
师资队伍
导师风采
教师名录
科学研究
学术动态
科研成果
社会服务
社会培训
展演展览
设计制作
合作交流
志愿服务
校友工作
校友组织
校友活动
校友风采
招生就业
本科生招生
研究生招生
就业指导
91吃瓜
91吃瓜新闻
91吃瓜公告
学术动态
学团工作
教师风采
91吃瓜概况
91吃瓜简介
现任领导
机构设置
教学机构
科研机构
行政机构
治理机构
党建工作
组织建设
理论学习
党建活动
工会风采
人才培养
本科生教育
研究生教育
师资队伍
导师风采
教师名录
科学研究
学术动态
科研成果
社会服务
社会培训
展演展览
设计制作
合作交流
志愿服务
校友工作
校友组织
校友活动
校友风采
招生就业
本科生招生
研究生招生
就业指导
×
91吃瓜公告
当前您的位置:
91吃瓜
>
91吃瓜公告
>
正文
91吃瓜
91吃瓜新闻
91吃瓜公告
学术动态
学团工作
教师风采
热文排行
91吃瓜 “颂五四,歌青春”五四系列活动圆满落幕
91吃瓜 师生赴青岛革命烈士纪念馆开展主题党日活动
泰国艺术大学一行暑期访学圆满结束
91吃瓜 举行党委理论学习中心组(扩大)学习会暨深入贯彻中央八项规定精神学习教...
徐大连书记来91吃瓜 调研督导工作
通知| 关于公布91吃瓜 研究生复试成绩的通知
发布时间:2025-03-28
浏览量:
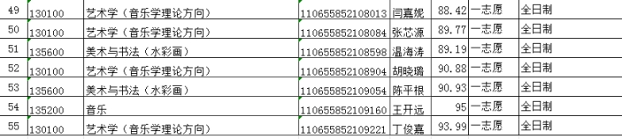
各位考生:
现公布2025年91吃瓜 研究生复试的成绩。
上一条:公告|关于91吃瓜 2025硕士研究生预调剂的通知
下一条:预告| 91吃瓜 绘画系“山海画风”研究展